
안녕하세요.
잡학다식이슈연구소입니다.
얼마 전, 2021년 공무원 봉급 인상에 대한 공지가 있었는데요. 이번 글에서는 2021 공무원 봉급인상율 및 봉급표 그리고 위험근무수당에 대해 알아보겠습니다.
2021년 공무원 봉급(보수) 인상율은 0.9%, 수당은 동결
'인사혁신처 - 새소식 - 언론보도자료'로 들어가 검색에 '공무원 보수'라고 입력 후 검색하면 아래와 같이 언료보도 자료가 있습니다. 해당 자료를 클릭해 보도록 하죠.


1) 2021년 공무원 봉금 인상율은 전년 대비 0.9% 인상되며, 수당은 사실상 동결되었다고 합니다.
0.9% 봉금인상율이 반영된 것은 공무원의 사기진작 및 물가 등이 고려된 것이지만, 현재 어려운 경제여건을 고려하여 정무직공무원과 고위공무원단 및 2급 이상의 공무원은 2021년 인상분을 반납하기로 결정되었습니다.
**참고
1) 정무직 공무원
: 선거에 의해 취임하거나 임명에 의해 국회 동의를 요하는 공무원. 예를 들어 대통령, 국회의원, 자치단체장, 지방의회 의원, 각부 장관, 차관, 처장, 청장, 등에 해당.
2) 고위공무원단
: 정부의 주요 정책결정 및 관리에 있어서 핵심역할을 하는 실/국장급 공무원을 적재적소에 활용하여 역량있는 정부를 구현하고자 고위직 공무원을 중하위직 공무원과 구별하여 관리하기 위한 제도 입니다. 여기에는 행정기관 국장급 이상 공무원으로 구성합니다.
출처) 네이버지식백과
2) 군인(병)에 대해서는, 처우개선을 위해 2017년 수립한 병봉금인상계획에 따라 전년대비 12.5%인상 됩니다. 병장기준으로 20년 월 54만9백원에서 21년에는 12.5%인상된 월 60만8천5백원이 되는 것이죠.
3) 한편 수당은 동결됩니다. 다만, 일부 수당에 한해 필요한 기준변경이 이루어 집니다.
-. 강과 호수 등의 안전사고 현장에서 인명구조업무에 종사하는 '수상안전요원(경찰공무원)'의 위험근무수당 등급이 기존 '병종'에서 '을종'으로 상향됩니다.
-. 헬기를 통해 산불진화 작업에 투입되는 산불진화대원(항공진화대원)에게는 재해율 등을 반영해 위험근무수당 '을종'을 지급합니다.
-. 한시 임기제 공무원의 가족수당 기준을 근무시간에 비례해 지급하던 방식에서 일반근무 기준으로 전액지급하는 것으로 개선하여 형평성을 도모하였습니다.
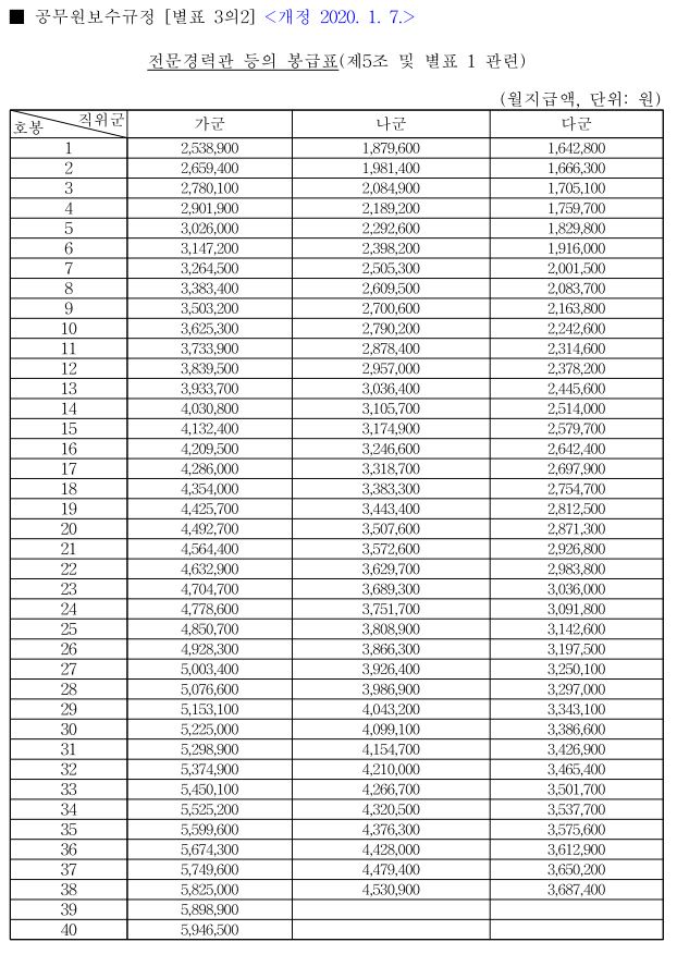
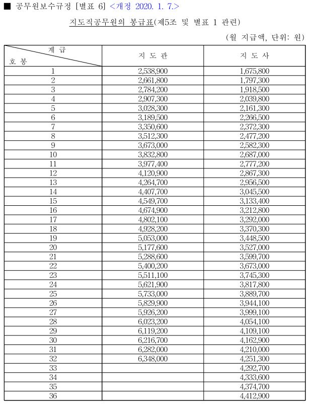
2021 공무원 봉급표
공무원의 보수는 기본급(봉금)과 총 18종의 수당으로 아래와 같이 이루어 집니다.

2021년 공무원 봉급인상율은 0.9%라고 서두에 말씀드렸었죠.
매 해 이러한 봉급인상율이 반영된 공무원 봉급표는 '법령 - 공무원보수규정 - 별표3에서 확인하실 수 있는데요. 2020년 봉급표는 올해 1월7일에 개정되었으니, 2021년 최종 봉급표도 역시 내년 1월7일경에 개정되어 확인하실 수 있을 것으로 사료됩니다. 따라서 일단 2020년도 공무원봉급표는 아래와 같으니, 0.9% 올해 봉급인상율을 반영하여 자체적으로 가늠해보시길 바랍니다.
1) 일반직공무원과 일반직에 준하는 특정직 및 별정직 공무원 등의 봉급표

2) 전문경력관 등의 봉급표

3) 공안업무 등에 종사하는 공무원의 봉급표

4) 연구직공무원 및 국가정보원 전문관의 봉급표

5) 지도직공무원의 봉급표

6) 일반직 우정직군 공무원의 봉급표

7) 경찰공무원, 소방공무원 및 의무경찰 등의 봉급표

8) 유치원, 초등학교, 중학교, 고등학교 교원 등의 봉급표

9) 국립대학 교원 등의 봉급표

10) 군인의 봉급표

11) 헌법연구관, 헌법연구관보의 봉급표

공무원 위험근무수당 병종, 을종, 갑종 (공무원수당 등에 관한 규정)
한편, 2021년 수당의 경우, 사실상 동결되지만, 일부 수당에 한에서는 기준변경이 이루어 진다고 했었는데요.
수당관련규정 내용은 '법령정보 - 공무원수당 등에 관한 규정'에서 찾아보실 수 있습니다. 2021년에 변경되는 '위험근무수당 및 병종, 을종이 무엇인지 한번 살펴볼까요?

공무원 수당 등급 갑종, 을종 병종에 따른 월 지급액
위험근무수당은 위험한 직무에 종사하는 공무원에게 지급되는 수당입니다.
등급은 갑종, 을종, 병종으로 구분되는데요. 갑종의 경우 6만원, 을종의 경우 5만원, 병종의 경우 4만원을 지급받게 됩니다. 이러한 지급액은 그 아래 캡쳐해 놓은, '부문별' 수당 등급 내용에 해당하는 규정에 맞추어 지급됩니다.

부문별 공무원 위험근무수당 등급별 규정




마무리
이렇게 2021년 공무원 봉급인상율 및 수당, 그리고 봉급표에 대해 알아보았는데요, 법령 - 공무원보수규정에 아직 인상율이 반영된 봉급표 최종버전이 개정되지 않아, 일단 2020년 봉급표를 기준으로 자체적으로 가늠해보는 방식으로 알려드린점 양해부탁드립니다. 내년1월초에 법령이 개정되면, 추가로 업데이트해 놓겠습니다.
제가 정리한 글의 내용을 잘 보시면, 향후 공무원 봉급인상율 및 봉급표를 어떻게 확인하셔야 하는지에 대해서 그 경로를 적어 놓았습니다. 살펴보시고 언제든지 자체적으로 확인하시는데 도움이 되었으면 합니다 ^^
출처
1. 공무원보수규정 (law.go.kr)
2. 공무원수당 등에 관한 규정 (law.go.kr)
3. 2020년< 공무원봉급표< 성과·보수제도< 공무원 인사제도< 인사혁신처 (mpm.go.kr)
**유의사항**
이 블로그의 모든 포스팅은 '개인적인 이해를 통해 공부한 내용을 정리한 글에 불과'합니다. 따라서 작성된 내용에는 저의 개인적인 의견이 포함되어 있으며 사실과 다를 수 있습니다. 기타 정보들과 비교해보시고 본 포스팅은 "참고용"으로만 봐주세요~ 해당 정보로 인해 발생되는 어떠한 불이익에 대해서도 책임지지 않는다는 점 유념해주세요.
'생활정보_이슈' 카테고리의 다른 글
| 2021년 상반기 노임단가와 적용시기! (건설업 노임임금,시중노임단가, 건설업평균임금) (0) | 2021.01.04 |
|---|---|
| 2021 경찰공무원, 소방공무원, 교사봉급표 이렇게 바뀐다! (예상) (0) | 2021.01.01 |
| (2020년12월26일) 943회 로또 1등 당첨지역 및 판매점은? (로또 당첨금, 당첨번호, 수령방법) (0) | 2020.12.28 |
| 비타민D 싹 다 알아보았다! (비타민D 효능, 대사 원리, 섭취기준, 구입기준, 추천제품 등) (0) | 2020.12.24 |
| (2020년12월19일) 942회 로또 1등 당첨지역 및 판매점은? (로또 당첨금, 당첨번호, 수령방법) (0) | 2020.12.21 |
댓글